澳门百家平台游戏规则玩法假如你在光速飞船上奔跑, 你的速度是否超光速了?
你的位置:澳门百家平台游戏规则玩法 > 新闻动态 >假如你在光速飞船上奔跑, 你的速度是否超光速了?
发布日期:2025-03-06 12:31 点击次数:179当我们谈论速度时,通常指的是物体在单位时间内移动的距离。但在不同的参考系中,同一物体的速度可能会有不同的观测结果。这是一个颇为深奥的物理学议题,尤其是在涉及到光速——这个宇宙中最快的速度时。

想象一下,如果你站在地面上,观察一艘以光速飞行的飞船,飞船上的宇航员开始奔跑。按照常识,他们的速度应该是光速加上他们奔跑的速度。
但在物理学的世界里,事情并非这么简单。根据爱因斯坦的狭义相对论,光速是宇宙中的速度极限,任何物体都不可能超越光速。因此,即使宇航员在飞船上以最快的速度奔跑,他们相对于地面的速度依然不会超过光速。
那么,在光速飞船上奔跑,速度到底有没有超光速?要解答这个问题,我们需要深入探讨物理学中关于速度概念的演变,以及光速不变原理的内涵。
速度概念的相对论演变
在物理学的长河中,速度的概念经历了重要的演变。最初,伽利略提出的变换理论认为,在一个封闭且匀速运动的参考系内,观察者无法感知自身参考系的运动状态。这一理论在牛顿的力学体系中得到了进一步的发展和应用。牛顿将速度的概念纳入了他的绝对时空观,认为速度是绝对的,可以简单地通过叠加得到。

然而,这种绝对速度的概念并没有持续太久。19世纪末,电磁学的发展,特别是麦克斯韦方程的提出,揭示了光速的特殊性。麦克斯韦方程预言,光速在任何参考系中都是一个常数,这与牛顿的理论产生了矛盾。为了解决这一矛盾,物理学家们开始寻求新的理论解释,爱因斯坦便是其中的杰出代表。

爱因斯坦提出的狭义相对论,彻底改变了我们对时间和空间的理解。在他的理论中,时间和空间不再是绝对的,而是相对的。爱因斯坦引入了洛仑兹变换,取代了伽利略变换,以此来描述不同参考系之间的速度关系。在爱因斯坦的理论中,光速不变原理成为了一个基本假设,即在任何惯性参考系中,光速都保持不变。这一原理打破了速度可以无限叠加的传统观念,确立了光速作为宇宙速度极限的地位。
揭秘光速不变的奥秘
光速不变原理是狭义相对论的核心之一,它指出在任何惯性参考系中,光的真空速度始终是一个常数,不受观察者所在参考系的运动状态影响。这意味着,即使观察者自己以接近光速的速度移动,他们测量到的其他光源的速度仍然会是光速。

这一原理看似违反了日常经验,但它却是实验观察的结果。例如,迈克尔孙-莫雷实验试图探测地球相对于以太的运动速度,结果却发现,无论地球如何运动,光速始终保持不变。这使得科学家们不得不放弃以太的概念,并接受光速不变的现实。
爱因斯坦在狭义相对论中进一步发展了这一概念,他假设光速在所有惯性参考系中都是不变的,并以此作为理论的基础。这一假设不仅解释了实验观察到的光速不变现象,还导致了一系列新的物理结论,如时间膨胀和长度收缩等。这些结论在后来的实验中得到了验证,从而证实了狭义相对论的正确性。
实验中的相对论验证
狭义相对论的理论预测,已经在多个实验中得到了验证。其中,μ子实验和原子钟实验是两个著名的例子。
μ子是一种具有较高速度的亚原子粒子。在μ子实验中,科学家们观察到高速运动的μ子的衰变率与狭义相对论的预测相符。具体来说,当μ子以接近光速的速度运动时,它们的寿命似乎变长了,这正是由于时间膨胀效应所致。这一实验结果支持了狭义相对论关于时间和空间相对性的理论。

另一个实验是原子钟实验。科学家们将原子钟放在飞机上,并在地面上进行对比。由于飞机上的原子钟相对于地面观察者以高速运动,根据狭义相对论,它们的时间流逝速度应该变慢。实验结果证实了这一点,飞机上的原子钟显示的时间比地面上的慢。这一实验不仅证实了狭义相对论的预测,也展示了相对论在实际应用中的重要性。
光速飞船上的速度真相
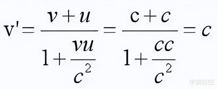
综合上述讨论,我们可以得出结论:在光速飞船上奔跑,速度不会超光速。无论飞船以多快的速度飞行,宇航员在其中奔跑的速度都无法超过光速,因为这是由光速不变原理所决定的。
根据爱因斯坦的狭义相对论,光速是宇宙中的速度极限,任何物体都不可能超越光速。当物体接近光速时,时间膨胀和长度收缩效应变得显著,这使得即使在高速运动的参考系中,光速仍然保持不变。因此,光速飞船上的宇航员,尽管在飞船内以最高速度奔跑,但他们相对于地面或其他远处观察者的速度仍然受限于光速。

这一结论不仅基于理论推导,也得到了实验的证实。μ子实验和原子钟实验等都支持狭义相对论的预测,证实了光速不变原理的正确性。因此,我们可以确信,在光速飞船上奔跑,速度不会超光速,这是现代物理学的一个基本原则。
